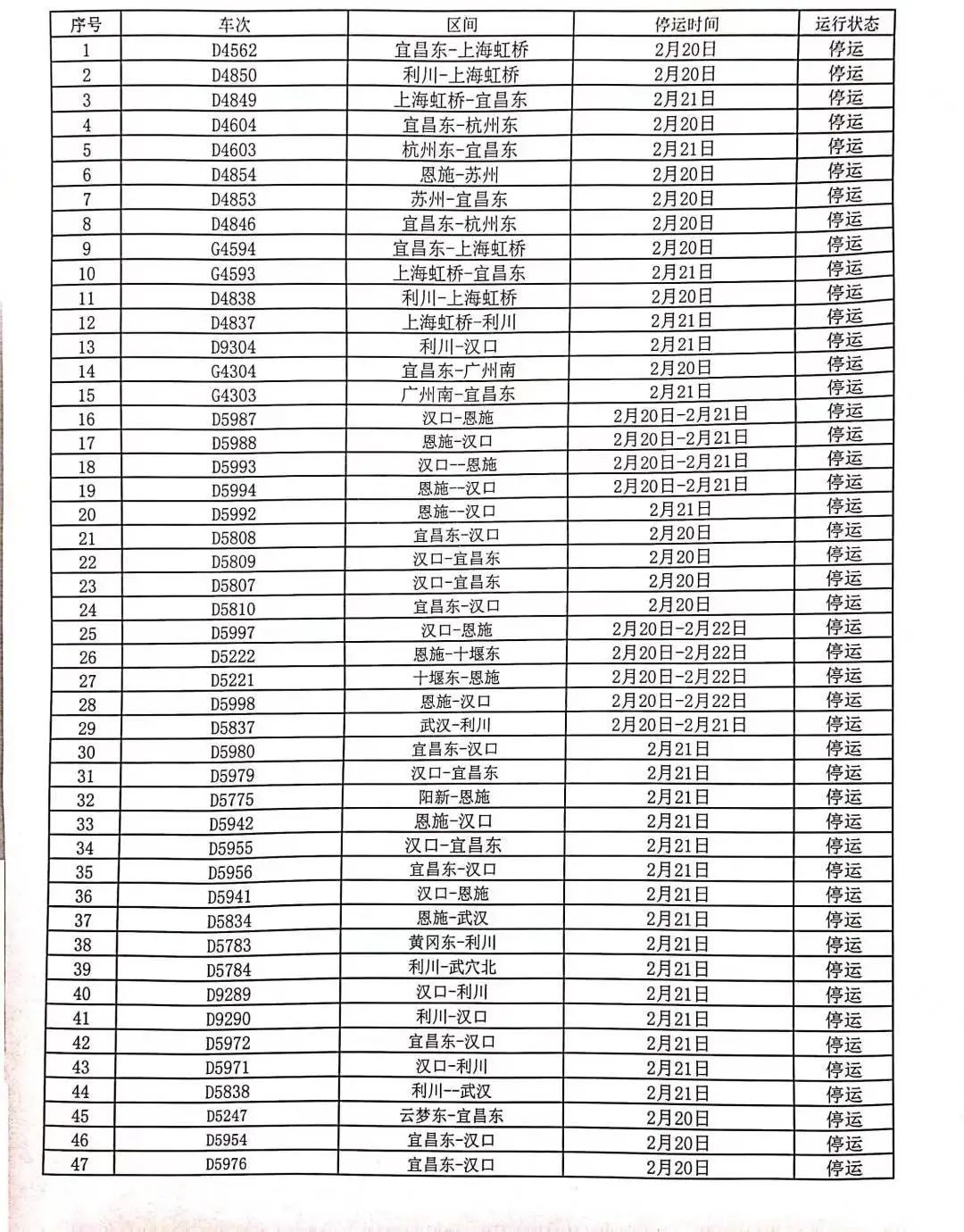
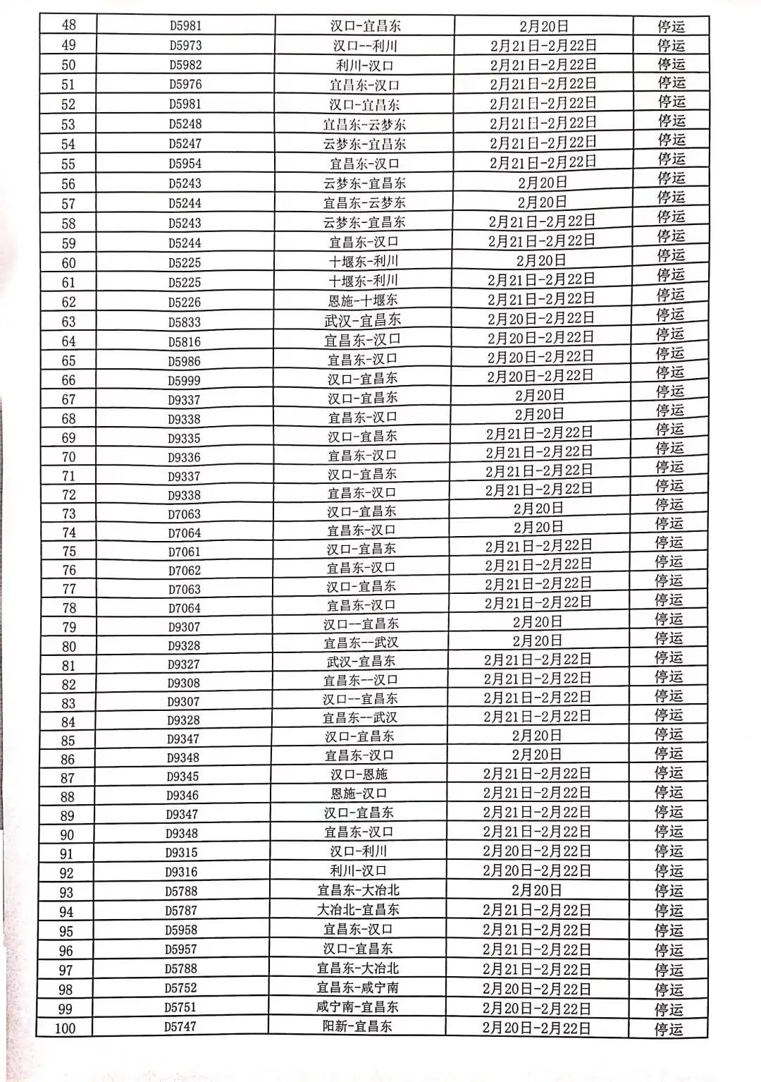
据@武汉铁路 最新消息,根据中央气象台发布的寒潮橙色预警,2月18日至24日,我国大部地区将出现大范围雨雪冰冻天气。为确保旅客出行安全,中国铁路武汉局集团有限公司2月20日计划停运部分列车。
铁路部门将根据天气变化动态调整旅客列车运行方案,以上车次可能继续发生变化。具体情况请旅客随时通过中国铁路12306网站或App、各火车站官方微博等渠道关注动态信息,妥善安排出行。

同时,从宜昌东站获悉
为应对低温冻雨极端天气
2月20日-2月23日
计划开行的137列车临时停运
购买停运列车车票旅客
可在接到通知之时起
至票面乘车日期后30日以内(含当日)
在12306网站、手机12306APP、
车站人工窗口、具有退票功能的自助机
办理退票,不收退票费



另外,@湖北高速交警 刚刚发布实时路况信息:
因事故,临时关闭入口的有:G70福银高速六里坪至十堰东段。
因车流量偏大,临时关闭入口的有:G45大广高速铁门至新洲段。
因车流量大,车辆通行缓慢的有:G42沪蓉高速往武汉方向汉川至东西湖段;G4221沪武高速往安徽方向大别山至杨柳段;G50沪渝高速往上海方向武穴至花桥段。
因施工,临时关闭入口的有:S13武监高速大沙湖站。
因施工,
①禁止车辆通行的有:G4201武汉绕城高速花山站出口(豹柏向)。
②全天禁止危化品车辆通行的有:G4京港澳高速双向河南界至军山段、大新至军山段入口;G4201武汉绕城高速邹黄互通至藏龙岛互通段;G50沪渝高速武汉西至永安段入口、凤凰山站入口;G4201武汉绕城高速花山站入口。
Copyright © 2001-2026 湖北荆楚网络科技股份有限公司 All Rights Reserved
互联网新闻信息许可证 4212025003 -
增值电信业务经营许可证 鄂B2-20231273 -
广播电视节目制作经营许可证(鄂)字第00011号
信息网络传播视听节目许可证 1706144 -
互联网出版许可证 (鄂)字3号 -
营业执照
鄂ICP备 13000573号-1
鄂公网安备 42010602000206号
版权为 荆楚网 www.cnhubei.com 所有 未经同意不得复制或镜像